반응형
이훈영(2015). 이훈영교수의 연구조사방법론 제 2판, 청람출판사, pp, 91-95
순수실험설계 : 실제 외생변수의 통제가 어려운 상업적 연구보다는 학문적 연구에 주로 활용됨.
- 통제집단 사전사후설계 : 모집단을 대표하는 표본으로 뽑힌 실험대상을 실험집단과 통제집단에 무작위로 할당하여 연구 실시함. 대부분 외생변수를 통제하는 것은 가능하나 결과 변수의 측정이 실험변수의 효과에 미치는 상호작용 시험효과는 제거가 어렵다.

2. 통제집단 사후실험설계 : 사전측정을 하지 않아 상호작용시험효과가 일어나지 않음. 두 집단 모두 외생변수의 영향 동일하게 받음. 사전측정이 없어 실험변수 효과를 정확하게 파악 어려움. 그러나 실제 사회현상에서는 사전측정이 불가능한 경우가 많아 상대적 적은 수 실험대상으로 실험이 가능하여 집단간의 격리도 쉽게 하는 장점이 있어 비교적 널리 활용됨.

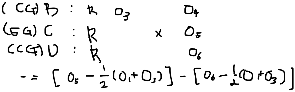
3. 솔로몬 4집단설계 : 설명된 통제집단 사전사후실험설계와 통제집단 사후실험설계의 결합형태. 모든 외생변수 통제가 가능함. 집단의 통제 어렵고 많은 시간과 비용이 듦.


O₂-O₁= 실험변수 + 상호작용시험효과 + 주시험효과 + 기타외생변수효과
O₄-O₃ = 주시험효과 + 기타외생변수효과

O₂-O₁= 실험변수 + 상호작용시험효과 + 주시험효과 + 기타외생변수효과
O₄-O₃ = 주시험효과 + 기타외생변수효과
반응형
'교육연구방법' 카테고리의 다른 글
| 모집단 평균에 대한 가설검정(이훈영, 2015, pp. 258-270) (0) | 2025.03.26 |
|---|---|
| 가설검정, 유의수준, 임계치, 오류(이훈영, 2015, pp. 246-254) (0) | 2025.03.26 |
| 척도와 변수 (0) | 2025.03.25 |
| 유사실험설계, 내적 타당성, 외적 타당성, 내재적 타당성, 외현적 타당성 (0) | 2025.03.24 |
| 실험설계 기호, 원시실험설계(이훈영, 2015, pp. 86-90) (0) | 2025.03.24 |
| 실험설계에서 고려해야 할 외생변수의 유형 및 통제(이훈영, 2015, pp. 80-86) (0) | 2025.03.24 |
| 실험설계 정의, 전제조건, 기본 모형(이훈영, 2015, pp. 75-77) (0) | 2025.03.21 |
| 과학적 연구의 진행절차(이훈영, 2015, pp. 47-58) (0) | 2025.03.21 |